| 6.3 | Zustandsgleichungen der Gase |
| 6.3.1 | Gesetze von Gay - Lussac - Gesetz von Boyle und Mariotte |
| 6.3.1.1 | 1. Gesetz von Gay - Lussac (Volumenänderung bei gleichbleibenden Gas-Druck) |
6.3 Zustandsgleichung der Gase
Der "Zustand" eines Gases, sein Volumen und sein Druck, sind stark von der Temperatur abhängig. Daher werden die für Gase geltenden Gesetzmäßigkeiten im Zusammenhang mit der Wärmelehre behandelt.
6.3.1 Gesetz von Gay-Lussac - Gesetz von Boyle und Mariotte
6.3.1.1 1. Gesetz von Gay-Lussac (Volumenänderung bei gleichbleibenden Gas-Druck)
Für die Volumenausdehnung von Gasen bei Temperaturänderung und bei gleichbleibendem Druck gelten gleiche Überlegungen wie für die Volumenausdehnung von Feststoffen und Flüssigkeiten:
![]()
Gay-Lussac fand (Anfang 19. Jahrhundert):
|
Alle Gase dehnen sich gleichmäßig aus. Die Volumenausdehnung bei einer
Temperaturerhöhung um 1K beträgt für alle Gase
|
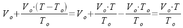
Bei Angabe der Temperatur in Kelvin ergibt sich dann mit den Symbolen für
| das Gasvolumen bei T (in K) | VT in l |
| das Gasvolumen bei 273 K = 0 °C | Vo in l |
| die Temperaturdifferenz T - To | ΔT in K |
| der
Volumenausdehnungskoeffizient
|
γ in K-1 |


und daraus:
1. Gesetz von Gay-Lussac - Zustandsgleichung der Gase, isobare Form

Für praktische Berechnungen werden Gaszustände "1" und "2" direkt in Beziehung gebracht:
Berechnen der Volumenänderung bei Temperaturerhöhung und bei gleichbleibendem Gasdruck
|
Aufgabe: |
50,0 l Sauerstoff werden ohne Druckänderung von 20 °C auf 35 °C erwärmt. Welches Volumen hat dann das Gas?
|
Rechengang: |
Gaszustand "1": V1 = 50,0 l;
Gaszustand "2": V2 = ?
T1 = 20 °C + 273 K = 293 K
T2 = 35 °C + 273 K = 308 K
