This page requires a JavaScript-enabled browser
Instructions on how to enable your browser are contained in the help file.
<<This message will be removed when you register >>
Technologie - Allgemeine Chemie Teil 2 (Tomchemie - Forum)
1.
Der Atomradius des Magnesiums beträgt 1,6 * 10 hoch -10 m. Welcher der folgenden Werte ist der wahrscheinlichste Wert für den Atromradius des Berylliums?
1,1 * 10 hoch -10m
1,7 * 10 hoch -10m
1,9 * 10 hoch -10m
2,2 * 10 hoch -10m
2.
Das Chlor Atom hat 17 Protonen im Kern. In welcher Zeile ist die Besetzung der Schalen mit Elektronen nach dem Bohrschen Atommodell richtig angegeben?
2, 8, 7
2, 7, 8
2, 6, 7
2, 2, 13
3.
Ein Element steht in der 3. Periode des PSE. Welche Aussage über ein Atom des Elements ist richtig.
Es hat 3 Nukleonen.
Es hat 3 Protonen.
Es hat 3 Elektronenschalen.
Es hat drei Elektronen.
4.
Ein Atom hat im Kern 13 Protonen und 14 Neutronen. Wieviel Elektronen hat dieses Atom auf seiner äußersten Schale?
1
3
13
14
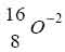
5.
Welche Aussage über das Oxidion ist falsch?
Es hat 16 Nukleonen
Es hat 8 Protonen
Es hat 10 Elektronen
Es hat 8 Elektronen
6.
Welche Aussage über das Eisenion ist falsch?
Es hat 26 Protonen
Es hat 56 Nukleonen
Die Massenzahl beträgt 56
Es hat 26 Elektronen
7.
Welche Aussage ist aufgrund der Schreibweise für Phosphor richtig?
Die molare Masse des Phosphors ist 16 g/mol.
Ein Phosphor-Atom hat 16 Elektronen.
Ein Phosphor-Atom hat 31 Elektronen.
Ein Phosphor-Atom hat 31 Nukleonen.
8.
Was bedeutet die Schreibweise für Wasserstoff
Ein Wasserstoff-Atom enthält 1 Proton und 2 Elektronen
Ein Wasserstoff-Atom enthält 2 Protonen und 1 Elektron.
Ein Wasserstoff-Atom enthält 1 Proton und 1 Neutron.
Das Wasserstoff-Atom hat die Oxidationszahl 1.
9.
Für das Element Chlor werden folgende Symbole angegeben: Welche der Aussagen dazu ist falsch?
Chloratome haben entweder 35 oder 37 Nukleonen
Chloratome haben 17 Protonen.
Chloratome haben entweder 18 oder 20 Neutronen.
Chloratome haben entweder 35 oder 37 Neutronen.
10.
Ein Atom hat 5 Außenelektronen. Welche Oxidationszahl kann dieses Atom nicht haben?
-III
VI
0
-I
Top