| 5 | Lösungen |
| 5.1 | Gehaltsgrößen |
| 5.1.1 | Grundlagen - Übersicht |
Ist ein Stoff in einem Lösemittel gelöst, spricht man von einer Lösung.
Ein homogener Materiebereich, der gasförmig, flüssig oder fest sein kann, ist eine Mischphase. Eine Mischphase kann aus zwei oder mehreren Komponenten bestehen.
Im vorliegenden Kapitel 5 Lösungen werden nur flüssige Mischphasen behandelt.
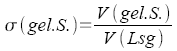
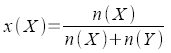
Hierin beziehen sich die Gehaltsgrößen auf mathematische Zusammenhänge zwischen den Größen
Masse (m), Volumen (V) und Stoffmenge (n).
Der Gehalt ist als Oberbegriff für Anteile, Konzentrationen und Verhältnisse nach DIN 1310 festgelegt (Näheres siehe dort).
Nachstehende Zusammenstellung zeigt mögliche mathematische Kombinationen der genannten 3 Größen zu Gehaltsgrößen auf.
Es bedeuten:
| gel.S.: | Gelöster Stoff |
| Lsm: | Lösemittel |
| Lsg: | Lösung |
| X: | Teilchen des gelösten Stoffes |
| Y: | Teilchen des Lösemittels |
| -anteil | -konzentration | -verhältnis | |
| Massen- |
|
![]() |
|
| Stoffmengen- |
|
![]() |
![]() |
| Volumen- |
|
![]() |
![]() |
Auf Tomchemie werden für Fragestellungen der Praxis wichtige Gehaltsgrößen behandelt:
| Massenanteil | Volumenkonzentration |
| Massenkonzentration | Stoffmengenkonzentration ( Molarität) |
Ferner:
