| 4.4.3 | Berechnen des Umsatzes bei unreinen Stoffen |
|
Aufgabe 1: |
Schwefel(IV)-oxid SO2, Ausgangsstoff zur Gewinnung von Schwefelsäure, wird u.a. durch Umsetzen des Minerals Pyrit FeS2 mit Luft-Sauerstoff bei höherer Temperatur ("Abrösten") erhalten:
2 FeS2 + 5,5 O2 → 4 SO2 + Fe2O3
10,0 t Pyrit mit 62,0% FeS2 werden abgeröstet.
a) Welche Masse an SO2 wird gewonnen, wenn verfahrensbedingt 1,5% verlorengehen?
b) Welche Masse an Fe2O3 enthält der "Abbrand"?
Zur Berechnung ist eine quantitative Umsetzung anzunehmen.
|
Rechengang I : |
2 M(FeS2) = 2 * 119,97 g/mol;
4 M(SO2) = 4 * 64,06 g/ml;
M(Fe2O3) = 159,692 g/mol
10,0 t Pyrit 62%ig enthalten 6,2 t FeS2 (r.S.)
| a) | 2 * 119,97 g FeS2 (r.S) ergeben 4 * 64,06 g SO2 |
|
| 6,2 t FeS2 (r.S)......................................... x t SO2 |
Bei einem Verlust von 1,5% werden dann
gewonnen.
| b) | 2 * 119,97 g FeS2 (r.S) ergeben 159,692 g Fe2O3 |
|
| 6,2 t FeS2 (r.S)....................................... y t Fe2O3 |
|
Rechengang II : |
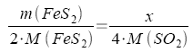
a)
| x = m(SO2) |
|
![]() |
Vgl. Rechengang I.
b)
| y = m(Fe2O3) |
|
![]() |
|
Aufgabe 2: |
Wieviel Tonnen eines 60,5%igen Pyrits FeS2 müssen zur Gewinnung von 1,000 t Schwefel(IV)-oxid SO2 abgeröstet werden, wenn der Röstprozeß
a) quantitativ,
b) mit einer Ausbeute von 97% abläuft.
Jeweils 0,6% SO2 gehen verloren.
|
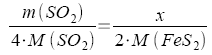
Rechengang I : |
Reaktionsgleichung und Molare Massen siehe vorstehende Aufgabe 1.
| a) | 256,24 t SO2 entstehen aus 239,94 t FeS2 (r.S.) |
|
| 1,000 t SO2................................... x t FeS2 (r.S.) |
Bei 0,6% Verlust an SO2 beträgt die Ausbeute 99,4%. Dann sind erforderlich:

![]()
Beachte und überlege: Verluste verringern die Ausbeute!
Der Verlust muß von 100% abgezogen werden! Es ist falsch, den Verlust 100% zuzuschlagen.
Am Beispiel vorstehender Aufgabe ergibt die Gegenüberstellung
| falsch | richtig | ||
| bei 10% Verlust | + (10%) | 0,9365 t |
![]() |
| 0,0937 t | |||
| 1,0302 t | |||
| bei 20% Verlust | + (20%) | 0,9365 t |
![]() |
| 0,1873 t | |||
| 1,1238 t | |||
| bei 50% Verlust | + (50%) | 0,9365 t |
![]() |
| 0,4683 t | |||
| 1,4048 t | |||
b) Bei einer Ausbeute von 97% gilt der gleiche Rechenansatz wie unter a). Mit vorstehenden Überlegungen vergrößert sich die abzuröstende Masse FeS2 dann auf

|
Rechengang II : |
a)
| x = m(FeS2) (r.S.) |
|
![]() |
b) Rechengang, Überlegungen, Ergebnisse und Schlußsätze wie unter Rechengang I.