| 4.2.4.4 | Erweiterter Begriff Stöchiometrischer Faktor |
Der Begriff Stöchiometrischer Faktor läßt sich erweitern. Eine Erweiterung wird am Beispiel "Härte des Wassers" erklärt.
Unter "Härte des Wassers" versteht man die Gesamtmenge der im Quell-, Fluß-, Leitungswasser... enthaltenen, aus Böden und Gesteinen herausgelösten Erdalkali-Salze. Wichtige Salze in Wässern sind Calciumhydrogencarbonat Ca(HCO3)2, Calciumsulfat CaSO4, Magnesiumhydrogencarbonat Mg(HCO3)2... . Art und Menge der in Wässern gelösten Salze sind auf Grund geologischer Strukturen stark unterschiedlich. Die Kenntnis der "Härte" eines Brauchwassers ist für Industrie und Haushalte von Bedeutung, um sich gegebenenfalls durch "Entkalken" vor negativen Auswirkungen zu schützen.
Zur Kennzeichnung der "Härte des Wassers", der Menge der gelösten Salze, wurde eine Bezugssubstanz Calciumoxid CaO, gewählt. Alle im Wasser gelösten Salze sind auf CaO stöchiometrisch umzurechnen.
Einheit der Wasserhärte ist 1 mmol CaO/1L Wasser, kurz mmol. 1)
|
Aufgabe: |
Ein Leitungswasser enthält im Liter 156 mg Ca(HCO3)2 , 0,8 mg CaSO4 und 27 mg Mg(HCO3)2 . Berechne die Härte dieses Wassers in mmol.
|
Rechengang |
1.
Die Molare Masse des gesuchten Stoffes CaO wird zu den Molaren Massen der gegebenen Stoffe ins Verhältnis gesetzt; es werden "Stöchiometrische Faktoren" im erweiterten Sinne gebildet.
| Gesucht | Gegeben | Stöchiometrischer Faktor |
| CaO | Ca(HCO3)2 |
|
| CaSO4 |
|
|
| Mg(HCO3)2 |
|
2.
Die im Liter Wasser gelösten Salze entsprechen 2) mit den Stöchiometrischen Faktoren:
| 156 mg Ca(HCO3)2 | entsprechen | 156 mg x 0,3459 | = | 53,96 mg CaO |
| 0,8 mg CaSO4 | entsprechen | 0,8 mg x 0,4119 | = | 0,33 mg CaO |
| 27 mg Mg(HCO3)2 | entsprechen | 27 mg x 0,3832 | = | 10,35 mg CaO |
| Summe: | 64,64 mg CaO |
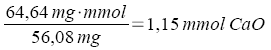
3.
Umrechnen von mg CaO in mmol CaO (im Liter):

Das Leitungswasser hat die Härte 1,15 mmol 3)
1) Vor Einführung der SI-Einheiten wurde definiert: 10 mg CaO/L Wasser = 1 Grad deutscher Härte (1° dH). Umrechnungsfaktor von °dH in mmol: 10/56,08 = 0,178
2) CaO als solches kann in Wasser nicht gelöst sein
3) Auskunft über die "Härte des Wassers" am Ort erteilt das zuständige Wasserwerk