| 4.2.4.3 | Stöchiometrischer und Analytischer Faktor |
Die Quotienten

= 0,3934 = 0,3237 = 0,2257 ...
heißen Stöchiometrische Faktoren. Faktoren deshalb, weil mit ihrem Zahlenwert der Massenanteil eines Elements in jeder beliebigen Stoffportion der Verbindung durch Multiplikation berechnet werden kann.
|
Aufgabe 1: |
Welche Masse an Natrium (Chlor) läßt sich stöchiometrisch - ohne verfahrensbedingte Verluste - aus 5,000 t Natriumchlorid - Steinsalz, 100%ig gedacht - gewinnen?
|
Rechengang |
|
|
![]() |
m (Na) = 5,000 t x 0,3934 = 1,967 t | m (Cl) = 5,000 t x 0,6066 = 3,033 t
Aus 5 t Natriumchlorid (Steinsalz 100%ig) lassen sich stöchiometrisch 1,967 t Natrium und 3,033 t Chlor gewinnen.
|
Aufgabe 2: |
In einer Analysenprobe wurde Eisen (Fe3+) gravimetrisch bestimmt und als Fe2O3 ausgewogen (vgl. Kapitel 7).
Auswaage m (Fe2O3) = 233,4 mg. Berechne m (Fe).
|
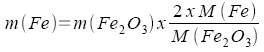
Rechengang |
Es gilt:


![]()
233,4 mg Fe2O3 enthalten 163,2 mg Fe (Fe3+).
Der Stöchiometrische Faktor wird bei analytischen Aufgaben Analytischer Faktor genannt.
|
18
|
|
Stöchiometrischer bzw. Analytischer Faktor |
a: Anzahl der Atome A im Einzelteilchen (Molekül, Atomgruppe, Ion...)
Vorteil des Rechnens mit Stöchiometrischen Faktoren ist, daß diese nur einmal für alle Umrechnungen der jeweiligen Art berechnet zu werden brauchen.
Stöchiometrische bzw. Analytische Faktoren sind in Handbüchern tabelliert.
| Zum Beispiel | Gesucht | Gegeben | Faktor |
| oder auch | Stoff 1 | Stoff 2 | |
| Na | NaCl | 0,3934 | |
| Fe | Fe2O3 | 0,6994 | |
| ... | ... | ... |