| 4.2.4 | Stöchiometrische Zusammensetzung einer Verbindung |
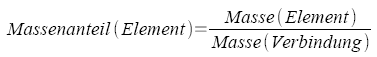
Aus der Formel einer chemischen Verbindung läßt sich der stoffmengenbezogene, molare, Massenanteil w der enthaltenen Elemente berechnen.
|
|
![]() |
Als Quotient zweier gleicher Größen hat der Massenanteil w keine Einheit. Üblich ist die Angabe in Prozent %.