| 3.4.2.3 | Tropfenmethode |
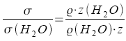
Fließt eine Flüssigkeit langsam aus einer Kapillare, dann sind bei konstanter Temperatur die Tropfen gleich groß. Die Oberflächenspannung ist der Dichte der Flüssigkeit direkt und der Anzahl z der Tropfen umgekehrt proportional. Ein solches Ausflußgerät heißt Stalagmometer. Es besitzt zwischen zwei Eichmarken ein bestimmtes Volumen. Das Gerät wird mit einer Flüssigkeit mit bekannter Oberflächenspannung (z. B. Wasser) geeicht. Dann gilt:

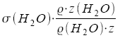
Daraus:


|
Aufgabe: |
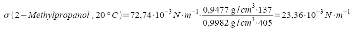
Aus einem Stalagmometer flossen bei J = 20 °C z = 405 Tropfen 2-Methylpropanol aus. Die Dichte der Flüssigkeit betrug ρ = 0,9477 g/cm3. Wie groß ist ihre Oberflächenspannung, wenn mit dem gleichen Gerät z (H2O) = 137 Tropfen Wasser von 20 °C gezählt wurden?
|
Rechengang |
Zunächst muß die Oberflächenspannung von Wasser bei 18 °C auf die Meßtemperatur 20 °C umgerechnet werden. Für diese Temperaturabhängigkeit gilt:
![]()
![]()
![]()
Dann ist:
