| 3.4.2.1 | Ringmethode |
Ein Aluminiumring mit einer scharfen Schneide ist an drei Fäden an einem Kraftmesser aufgehängt. Der Kraftmesser hängt selbst wieder an einem Faden, der über eine Rolle führt. Der eingetauchte Ring wird an die Wasseroberfläche gebracht. Bei weiterem Ziehen hebt die Schneide eine dünne ringförmige Flüssigkeitsschicht aus der Oberfläche. Diese Schicht besitzt zwei Oberflächen. Unmittelbar vor dem Abreißen der Schicht wird der Kraftmesser abgelesen.


Meßwerte:
F1 = Gewichtskraft des Ringes in Luft in N
F2 = Gewichtskraft vor dem Abreißen in N
r = Radius des Ringes in m
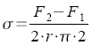
Die Oberflächenspannung
σ berechnet sich zu:

|
Aufgabe: |
Berechne die Oberflächenspannung von Wasser bei 25 °C. Masse des Ringes m = 4,910 g; Zugkraft vor dem Abreißen F2 = 7,512 * 10-2 N; Durchmesser des Ringes d = 60 mm.
|
Rechengang |
