| 3.3.1.3 | Beschleunigungsarbeit, Kinetische Energie |
Soll die Masse m auf die Geschwindigkeit v gebracht werden, so muß sie von 0 m/s auf v m/s beschleunigt werden. Die wirksame Beschleunigung a soll dabei konstant bleiben. Die wirksame Kraft ist F = m * a; die zu verrichtende Arbeit entlang des Beschleunigungsweges s wird dann
W = m * a * s
Einheit: kg * m/s2 * m = Nm = J
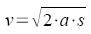
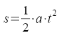
Ersetzt man in dieser Gleichung die Größen a
und s durch
und
(Gesetze der
gleichmäßig beschleunigten Bewegung), ergibt sich die Gleichung für die
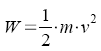
kinetische Energie:
| 11
|
![]() |
![]() |
|
Aufgabe 1: |
Ein Personenwagen mit der Masse m = 1200 kg wird von 0 auf 90 km/h beschleunigt.
a) Wie groß ist dann seine kinetische Energie?
b) Bei einem Aufprall auf ein festes Hindernis wird die kinetische Energie in "Zerstörungsenergie" umgewandelt. Welcher Fallhöhe (gleich Hubhöhe) entspricht diese Energiemenge? Fallbeschleunigung g = 9,81 m/s2.
|
Rechengang |
| a) |
|
|
| b) |
|
|
| Wpot ist die potentielle Energie, die Energie der Lage. | ||
|
Beachte: Die Kinetische Energie und damit die Zerstörungsenergie wächst mit dem Quadrat der Geschwindigkeit! |
||
|
Aufgabe 2: |
Ein Radiumkern 1) zerfällt unter Ausstrahlung eines α-Teilchens 2). Beim Verlassen des Kerns hat das α-Teilchen der Masse m = 6,6 * 10-24 g die Geschwindigkeit v = 16000 km/s.
a) Welche Beschleunigungsarbeit W wird im Kern aufgebracht?
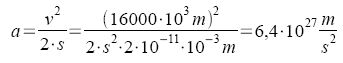
b) Wie groß ist die Beschleunigung a, die das α-Teilchen bis zum Austritt aus dem Kern erfährt? Als Beschleunigungsweg wird der Kernradius r angenommen.
c) Wie groß ist die wirksame Kraft F?
d) In einer Wilson-Nebelkammer wird die Bahnlänge des α-Teilchens mit s = 3,4 cm gemessen. Wie groß ist die (negative) Beschleunigung a (= Verzögerung) auf dieser Weglänge?
|
Rechengang |
a) Beschleunigungsarbeit: (VO = 0, VE = 16000 km/s)

b) Beschleunigung: (VE = 16000 km/s, s = 2 * 10-11 mm)
![]()

c) Wirksame Kraft:

d) Bremsvorgang: (VO = 16000 km/s, VE = 0, s = 3,4 cm)

1) Angenommener Kernradius r = 2 * 10-11 mm
2) α-Teilchen = Heliumkern