3.1.3.2 Bestimmen der Dichte von Flüssigkeiten mit dem Pyknometer

 

Pyknometer

Bestimmung der Partikeldichte nach dem Prinzip der Flüssigkeitsverdrängung:

Pyknometer arbeiten nach Verdrängungsprinzip, d.h. es wird das von einer definierten Feststoffmasse m verdrängte Flüssigkeits- oder Gasvolumen bestimmt und daraus die Stoffdichte berechnet.

 

Aufgabe:

 

Mit einem Pyknometer wurde die Dichte einer verdünnten Kalilauge KOH aq bei 20 °C bestimmt. Dabei ergaben die erforderlichen Wägungen:

1. Pyknometer "leer" 1) m1 = 11,510 g
2. Pyknometer + Wasser m2 = 36,520 g
3. Pyknometer + Lauge m3 = 39,320 g

 

Rechengang

Aus den Wägungen folgt:

Masse der Lauge

 

 

Volumen des Pyknometers

 

 

 

= Volumen der Lauge

= Volumen des Wassers

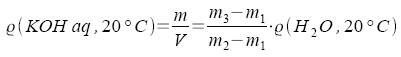
Dann ist die Dichte der Lauge:

 

 

 

 

Die Kalilauge hat die Dichte :


1) Die Masse der Luft im Pyknometer kann vereinfachend unberücksichtigt bleiben.