| 12.6.3 | Berechnen der in Lösung verbleibenden Konzentration eines schwerlöslichen Salzes |
|
Aufgabe: |
Zur gravimetrischen Fällung von Bariumsulfat BaSO4 wurde zu 0,1 mol/l Ba2+ -Lösung die äquivalente Menge Schwefelsäure gegeben.
a) Wieviel mol/l an Ba2+ - und SO42- -Ionen enthält die über dem Bodenkörper stehende Lösung?
b) Wieviel mg BaSO4 werden als Methodenfehler bei der Fällung nicht erfasst?
L(BaSO4) = 10-10 (mol/l)2 (bei Raumtemperatur)
|
Rechengang |
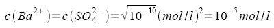
a) Aus c(Ba2+) * c(SO42-) = 10-10 (mol/l)2 folgt, da c(Ba2+) und c(SO42-) gleich sind:
![]()
b) Damit enthält die gesättigte Lösung 10-5 mol/l BaSO4, das sind 2,334 mg.
Die über der Fällung stehende gesättigte Lösung enthält je 10-5 mol/l Ba2+ - und SO42--Ionen.
2,334 mg/l BaSO4 werden bei der Fällung nicht erfasst.