| 12.1.2 |
"Verschieben" von Gleichgewichten Gleichungen zweiten Grades (Quadratische Gleichungen) |
Am Beispiel einer Veresterungsreaktion sollen rechnerisch die Möglichkeiten der Veränderung der Gleichgewichtslage aufgezeigt werden.
|
Aufgabe: |
Für die Umsetzung von Ethanol C2H5OH mit Essigsäure, Ethansäure, CH3COOH zu Essigsäureethylester, Ethylacetat, CH3COOC2H5 und Wasser H2O hat die Gleichgewichtskonstante K bei 25°C den Zahlenwert 4 (hier ohne Einheit):


a) Reaktionspartner im stöchiometrischen Verhältnis
Zur Veresterung werden 1 mol C2H5OH und 1 mol CH3COOH eingesetzt. Die Reaktionspartner werden also im stöchiometrischen Verhältnis eingesetzt. Welche Ausbeute an Ester kann höchstens erzielt werden. welche Mengen der Ausgangsstoffe werden nicht umgesetzt? Der Zahlenwert von n(H2O) = n(CH3COOC2H5) wird mit x bezeichnet.
|
Rechengang |
zu a)
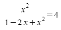
Aus 1 mol C2H5OH und 1 mol CH3COOH entstehen x mol CH3COOC2H5 und x mol H2O.
Im Gleichgewicht enthält das System:
x mol CH3COOC2H5 gleich (1-x) mol C2H5OH
x mol H2O gleich (1-x) mol CH3COOH
Nach MWG gilt:

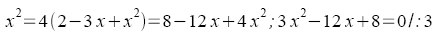
Daraus:

![]()
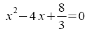
Umstellen in die "Normalform":
![]()
![]()
|
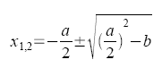
Allgemeine Normalform quadratischer Gleichungen:
Die quadratische Gleichung hat zwei Lösungen:
|
Lösungen:


Diese Lösung scheidet aus. Nach der Reaktionsgleichung können nicht mehr als 1 mol Ester bzw. Wasser entstehen.
also
n(CH3COOC2H5) =
0,667 mol
Nach der Reaktionsgleichung sollte stöchiometrisch 1 mol Ester entstehen, auf Grund des Gleichgewichts entstehen jedoch nur 2/3 mol Ester. Die höchstens erzielbare Ausbeute beträgt damit 2/3 bzw. 66,7% der Theorie.
Bei der Reaktion werden je (1-2/3) mol = 1/3 mol C2H5OH und CH3COOH nicht umgesetzt. Prüfe die rechnerische Richtigkeit der Ergebnisse 2 und 2/3 durch Einsetzen in die Ausgangsgleichung!
b) Ein Reaktionspartner im Überschuß
Zur Veresterung wird CH3COOH im Überschuß eingesetzt, und zwar auf 1 mol C2H5OH 2 mol CH3COOH. Welche Ausbeute an Ester kann höchstens erzielt werden, welche Stoffmenge an Ethanol wird nicht umgesetzt?
|
Rechengang |
zu b)
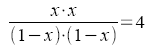
Im Gleichgewicht enthält das System:
x mol CH3COOC2H5 gleich (1-x) mol C2H5OH
x mol H2O gleich (2-x) mol CH3COOH
Nach MWG gilt:

Daraus:

![]()
Umstellen in die "Normalform":
![]()
Lösungen:

![]()
![]()
Nach der Reaktionsgleichung sollte stöchiometrisch 1 mol Ester entstehen, auf Grund der Gleichgewichtslage entstehen 0,85 mol Ester. Die höchstens erzielbare Ausbeute, bezogen auf C2H5OH beträgt somit 85% der Theorie. Bei der Reaktion werden (1-0,85) mol = 0,15 mol C2H5OH nicht umgesetzt.
c) Ein Reaktionsprodukt wird dem Gleichgewicht weitgehend entzogen.
Zur Veresterung werden 1 mol C2H5OH und 1 mol CH3COOH eingesetzt (stöchiometrisches Verhältnis). Das entstehende Wasser wird weitgehend aus dem System genommen, z.B. durch ein wasserbindendes Mittel, so dass im Reaktionsgemisch nur noch 0,08 mol H2O vorliegen. Welche Ausbeute an Ester kann höchstens erzielt werden, welche Stoffmengen der Ausgangsstoffe werden nicht umgesetzt?
|
Rechengang |
zu c)
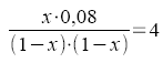
Bei der Reaktion entstehen zunächst x mol CH3COOC2H5 und x mol H2O. Dafür gilt der Rechengang wie unter a). Die Stoffmenge an Wasser wird jedoch im Gleichgewichtszustand auf 0,08 mol verringert.
Im Gleichgewicht enthält das System:
x mol CH3COOC2H5 gleich (1-x) mol C2H5OH
0,08 mol H2O gleich (1-x) mol CH3COOH
Nach MWG gilt:

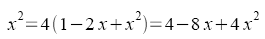
Daraus:

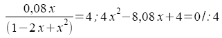
Umstellen in die "Normalform":
![]()
Lösungen:
![]()
![]()
![]()
Es entstehen neben 0,08 mol Wasser 0,87 mol Ester entsprechend 87% der Theorie. Je (1-0,87) mol = 0,13 mol C2H5OH und CH3COOH werden nicht umgesetzt.