Thermochemie
Bildungs- und Reaktionsenthalpien. Da die Enthalpie einer Substanz von der Temperatur
(und auch vom Druck) abhängig ist, bezieht man Enthalpieangaben auf einen definierten Zu-
stand,
den sogenannten Standardzustand des betreffenden Stoffes, für welchen
eine Temperatur von 298°K (= 25°C) und ein Druck von 1 atm festgelegt ist.
Absolute Enthalpien sind jedoch gar nicht meßbar ( und werden auch nicht
benötigt), so dass man willkürlich die Enthalpien der Elemente im
Standardzustand (d. h. in dem bei 298°K und 1 atm stabilsten Zustand) gleich
Null setzt. Die Bildungsenthalpie einer Verbindung ist dann gleich
der bei der Bildung von 1 Mol der Verbindung im Standardzustand aus den
Elementen im Standardzustand unter konstantem Druck freigesetzten (oder
aufgenommenen) Wärme. Sie wird mit
abgekürzt: f bedeutet <<of formation>> und
der Index o bezeichnet alle auf den Standardzustand bezogenen Größen.
Wegen experimenteller Schwierigkeiten ist es aber oft nicht möglich, bestimmte Bildungs- enthalpien (oder auch Reaktionsenthalpien) direkt zu messen. Man kann aber in solchen Fällen den Endzustand oft über einen Umweg aus den Ausgangsstoffen erreichen, der für die experimentelle Arbeit geeigneter ist. Nach dem Satz von Heß (dem <<Gesetz der konstanten Wärmesummen>>) hängt nämlich die Reaktionsenthalpie eines bestimmten Vorgangs nicht vom Weg ab, d. h. sie ist immer gleich groß, ob man den Vorgang direkt oder in verschiedenen, voneinander getrennten Schritten durchführt, weil Δ H gleich der Änderung einer Zustandsfunktion und damit von der Art und Weise, in welcher die Zustandsänderung durchgeführt wird, unabhängig ist.
Bespiel: Die Bildungsenthalpie von Kohlenmonoxid läßt sich nur indirekt bestimmen, weil Kohlenstoff bei der Verbrennung stets - wenn auch in gewissen Fällen nur spurenweise - Kohlendioxid bildet. Hingegen lassen sich folgende Reaktionsenthalpien messen:
|
|
C |
+ |
O2 |
→ |
|
= - 94,05 kcal/Mol |
|
und |
CO |
+ |
1/2 O2 |
→ |
|
= - 67,64 kcal/Mol |
Nach dem Satz von Heß erhält man bei der Verbrennung von 1 Mol C zu CO2 gleich viel Wärme, wenn sie direkt oder über CO als Zwischenstufe führt:
|
C |
─────── |
─────── |
→ |
CO2 |
|
= - 94,05 kcal/Mol |
|
C |
─────── |
CO |
→ |
CO2 |
|
= - 94,05 kcal/Mol |
x kcal/Mol Δ H = - 67,64 kcal/Mol
Die Bildungsenthalpie von CO beträgt also - 26,41 kcal/Mol
Die Bildungsenthalpien dienen in der Praxis häufig zur Berechnung von Reaktionswärmen, da nach dem oben Gesagten gilt:
![]()
Standard - Bildungsenthalpien (kcal/Mol)1
|
H20 (g) |
- 57,79 |
CO (g) |
- 26,41 |
H |
+ 52,1 |
|
H20 (l) |
- 68,35 |
CO2 (g) |
- 94,05 |
O |
+ 59,1 |
|
H2O2 (g) |
- 32,53 |
MgO (s) |
- 145,8 |
Cl |
+ 29,0 |
|
O3 (g) |
+ 34,0 |
CaO (s) |
- 151,8 |
Br |
+ 26,7 |
|
HF (g) |
- 64,2 |
Ca(OH)2 (s) |
- 235,6 |
N |
+ 112,5 |
|
HCl (g) |
- 22,06 |
CaCO3 (s) |
- 288,4 |
|
|
|
HBr (g) |
- 8,66 |
BaO (s) |
- 133,5 |
|
|
|
HI (g) |
+ 6,20 |
BaCO3 (s) |
- 290,8 |
|
|
|
SO2 (g) |
- 70,96 |
BaSO4 (s) |
- 345,3 |
|
|
|
SO3 (g) |
- 94,45 |
Fe2O3 (s) |
- 196,4 |
|
|
|
H2S (g) |
- 4,81 |
Al2O3 (s) |
- 399,1 |
|
|
|
N2O (g) |
+ 19,49 |
SiO2 (s) |
- 209,9 |
|
|
|
NO (g) |
+ 21,60 |
ZnO (s) |
- 83,2 |
|
|
|
NO2 (g) |
+ 8,09 |
PbO (s) |
- 52,7 |
|
|
|
NH3 (g) |
- 11,04 |
CuO (s) |
- 33,0 |
|
|
|
|
|
Ag2O (s) |
- 6,5 |
|
|
1 (s) = fest (solidus), (g) = gasförmig, (l) = flüssig (liquidus), (d) = gelöst (dissolved)
Beispiele:
a) Die Reaktionswärmen für die Reduktion von Kupferoxid bzw. Aluminiumoxid mit Wasserstoff betragen:
|
|
CuO |
+ |
H2 |
→ |
H2O (I) |
+ |
Cu |
|
|
- 33,0 kcal/Mol |
|
|
|
- 68,3 kcal/Mol |
|
|
|
Al2O3 |
+ |
3 H2 |
→ |
3 H2O (I) |
+ |
2 Al |
|
|
|
- 399,1 kcal/Mol |
|
|
|
- 3 * 68,3 kcal/Mol |
|
|
b) Man berechne die Verbrennungswärme von Ethylen
|
|
C2H4 |
+ |
3 O2 |
→ |
CO2 |
+ |
2 H2O (g) |
|
|
+ 12,5 kcal/Mol |
- 2 * 94,1 kcal/Mol |
- 2 * 57,8 kcal/Mol |
= - 316,3 kcal/M
Für Reaktionen, an denen Ionen beteiligt sind, sollten die Bildungsenthalpien der einzelnen Ionen bekannt sein. Sie sind aber nicht bestimmbar, da stets Verbindungen (die positive und negative Ionen nebeneinander enthalten) entstehen und nicht nur eine einzige Ionenart. Es ist deshalb notwendig, für Ionen in wäßriger Lösung ein weiteres <<Bezugssystem>> zu definieren. Man wählt dazu das <<Wasserstoffion>> H+ (eigentlich H3O+) und setzt seine molare Bildungsenthalpie in wäßriger Lösung ei 298°K willkürlich gleich Null. Damit lassen sich die Bildungsenthalpien der übrigen Ionen (in wäßriger Lösung!) sowie Reaktionsenthalpien für Ionenreaktionen berechnen.
Beispiele:
a) Die experimentell bestimmte molare Bildungsenthalpie für verdünnte Salzsäure beträgt -40,02 kcal. Dieser Wert setzt sich aus den Bildungsenthalpien der beiden Ionen, H3O+ und Cl-, zusammen. Da die Bildungsenthalpie des ersteren definitionsgemäß = Null ist, wird
(Cl-
aq) = - 40,02 kcal/Mol.
b) Wir berechnen die Reaktionsenthalpie für folgende Reaktion:
Ag + NO3- (aq) + Na+Cl- (aq) → AgCl (s) + Na+NO3- (aq)
Da die Na+ und NO3- Ionen am Vorgang nicht teilnehmen, brauchen sie nicht berücksichtigt werden, und wir erhalten:
|
|
= |
|
-
|
-
|
|
|
= |
- 30,36 kcal/Mol |
- 25,31 kcal/Mol |
-(- 40,02 kcal/mol |
|
|
|
|
|
|
Standard - Bildungsenthalpien von Ionen in wäßriger Lösung (kcal/Mol)
| H3O+ | 0,00 | OH- | - 54,96 |
| Na+ | - 57,28 | F- | - 78,66 |
| K+ | - 60,04 | Cl- | - 40,02 |
| NH4+ | - 31,74 | Br- | - 28,90 |
| Mg2+ | - 110,41 | I- | - 13,37 |
| Zn2+ | - 36,44 | S2- | + 10,0 |
| Fe2+ | - 21,0 | SO42- | - 216,90 |
| Fe3+ | - 11,4 | NO3- | - 49,37 |
| Cu2+ | + 15,39 | CO32- | - 161,63 |
| Ag+ | + 25,31 | CH3COO- | - 116,84 |
Temperaturabhängigkeit der Reaktionsenthalpie. Zur experimentellen Messung von Bildungsenthalpien oder Reaktionswärmen führt man die fragliche Reaktion in einem Kalorimeter durch, wobei das Reaktionsgefäß in Verbindung mit der Atmosphäre stehen muß (der Druck soll konstant bleiben!). Oft ist es dabei allerdings nicht möglich, die Temperatur von 298°K (wie sie dem Standardzustand entspricht) innezuhalten. Nach Kirchhoff lassen sich jedoch die gesuchten (für andere Temperaturen als für die Meßtemperatur geltenden) Enthalpien über einen Kreisprozess berechnen:
|
|
T2 |
→ ΔH2 = ? → |
T2 |
|
|
Edukte |
↓ |
|
↑ |
Produkte |
|
|
T1 |
→ ΔH1 → |
T1 |
|
Wir nehmen an, daß Δ H für die Reaktion bei einer Temperatur T1 bekannt ist, und wollen Δ H (= Δ H2) für eine andere Temperatur T2 bestimmen. Anstatt die Reaktion bei der Temperatur T2 auszuführen, könnte man die Edukte zuerst auf T1 abkühlen, diese dann isotherm miteinander reagieren lassen und die gebildeten Produkte wieder auf T2 erwärmen. Wenn die Wärmekapazitäten der Edukte und Produkte (bei konstantem Druck) bekannt sind, lassen sich die Enthalpieänderungen für das Abkühlen der Edukte und das Erwärmen der Produkte berechnen. Als Folge des Energiesatzes gilt nämlich:

oder, da durch das Vertauschen der Integrationsgrenzen das Vorzeichen umgekehrt wird:

Wenn die Differenz der Wärmekapazitäten als temperaturunabhängig betrachtet werde darf, gilt:
![]()
Beispiel: Die Verbrennungswärme für rhombischen Schwefel bei 25°C beträgt - 70,96 kcal/Mol. Gesucht ist Δ H für eine Temperatur von 95°C. Die Wärmekapazitäten von S, O2 und SO2 betragen 5,67 bzw. 6,97 bzw. 10,0 cal/Mol Grad.
Δ H95°C = - 70960 +(10,0 - 6,97 - 5,67) 70 cal/Mol = -71140 cal/Mol = - 71,14 kcal/Mol
Bei Phasenumwandlungen müssen die damit verbundenen Enthalpieeffekte ebenfalls berücksichtigt werden.
Beispiel: Man berechne die Verbrennungswärme von flüssigem Schwefel bei 119°C. Die Schmelzenthalpie (bei 119°C, dem Schmelzpunkt von monoklinem Schwefel) beträgt 9,376 kcal/Mol); die mit der Umwandlung von rhombischem in monoklinen Schwefel (bei 95°C) verbundene <<Umwandlungsenthalpie>> beträgt 2,816 kcal/Mol. Cp von monoklinem Schwefel ist 6,18 kcal/Mol. Damit wird:
Δ H119°C = - Δ HSchmelz - Cp (m) * (119 - 95) - Δ HUmw - Cp (r) * (95 -25)
| Δ H119°C = | - Δ HSchmelz - Cp (m) * (119 - 95) - Δ HUmw - Cp (r) * (95 -25) |
| - Cp (O2) * (119 - 25) + Δ H25°C + Cp (SO2) * (119 - 25) | |
| Δ H119°C = | - 9376 - 6,18 * 24 -2816 - 5,67 * 70 - 6,97 * 94 - 70960 + 10,0 * 94 |
| - 83410 cal/Mol = - 83,410 kcal/Mol |
Entropie und freie Enthalpie
Die Beantwortung der Frage: <<Können zwei bestimmte Substanzen überhaupt miteinander reagieren oder nicht?>> gehört zweifellos zu den Problemen, die den Chemiker am meisten interessieren. Der 1. Hauptsatz gibt darauf allerdings keine Antwort. Er sagt zwar aus, daß bei einer Zustandsänderung die Summe der Energie eines Systems und seiner Umgebung konstant bleibt, macht jedoch keine Angabe über die mögliche Richtung einer solchen Änderung. So dehnt sich z.B. ein ideales Gas spontan und ohne Energieänderung in ein Vakuum aus; der gegenteilige Vorgang - der nach dem 1. Hauptsatz durchaus möglich wäre - tritt hingegen niemals ein. Ebenso wäre es mit dem 1. Hauptsatz durchaus zu vereinbaren, daß ein System unter Wärmeaufnahme von der Umgebung spontan Arbeit leistet (z.B. indem ein auf einer Unterlage ruhender Gegenstand von selbst in die Höhe steigt, während sich die Unterlage abkühlt), ein Vorgang, der in Wirklichkeit niemals beobachtet wird. Bringt man einen heißen und einen kalten Körper miteinander in Berührung, so findet ein Übergang von Wärme statt, bis sich die Temperaturen ausgeglichen haben; der umgekehrte Vorgang - daß von zwei Körpern gleicher Temperatur spontan der eine heiß und der andere kälter wird - tritt wiederum niemals ein. Diese wenigen Beispiele zeigen, daß natürliche oder spontane Vorgänge in einer bestimmten Richtung erfolgen, die durch den 1. Hauptsatz nicht festgelegt wird. Es muss offensichtlich irgendeine Größe existieren, welche Aufschluss über die mögliche Richtung einer Zustandsänderung gibt.
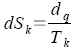
Reversible und irreversible Zustandsänderungen; die Entropie.
Um zu erkennen, wodurch die Richtung einer Zustandsänderung bestimmt wird, ist es zweckmäßig, zwischen reversiblen und irreversiblen Zustandsänderungen zu unterscheiden. Dazu betrachten wir zunächst die Expansion eines idealen Gases gegen einen äußeren Druck pa. Ist dieser Druck während der Expansion immer nur um einen infinitesimalen Betrag (dp) kleiner als der Druck des Gases selbst (pi), so erfolgt die Ausdehnung unendlich langsam (<<quasistatisch>>), denn auf den beweglichen Kolben wirkt dann immer nur eine infinitesimal kleine Kraft. Ein solcher Prozeß kann jederzeit unterbrochen oder durch eine ebenso infinitesimale Änderung von pa rückgängig gemacht werden; während der Zustandsänderung befindet sich das System immer in einem genau bestimmten Gleichgewichtszustand. Ein auf diese Weise durchgeführter Prozeß heißt <<reversibel>>.
Wesentlich für diese Begriffsbestimmung ist die Feststellung, daß sich das System bei einer reversiblen Zustandsänderung dauernd im Gleichgewichtszustand befindet. In unserem Beispiel ist es aber in Wirklichkeit nicht möglich, die Volumenänderung im Gleichgewichtszustand durchzuführen, denn Gleichgewicht und gleichzeitige Volumenänderung schließen sich gegenseitig aus. Nur im Grenzfall der infinitesimalen Druckänderung sind pi und pa praktisch gleich groß. Ist der Unterschied zwischen pi und pa sehr groß (erfolgt also die Volumenänderung weit entfernt vom Gleichgewichtszustand), so kann die Zustandsänderung durch eine infinitesimale Änderung der Zustandsgrößen nicht mehr rückgängig gemacht werden. Man bezeichnet dann den Prozeß als <<irreversibel>>. In der Praxis liegen alle Prozesse zwischen dem Idealfall des reversiblen und dem Grenzfall des irreversiblen Prozesses, können also nur dann ablaufen, wenn sich das System etwas außerhalb des Gleichgewichtes befindet.
Auch chemische Vorgänge lassen sich unter Umständen auf (beinahe) reversible oder irreversible Weise durchführen. So ist die Bildung von Salzsäure durch direkte Reaktion von H2 mit Cl2 und anschließendem Lösen des gebildeten HCl-Gases in Wasser ein irreversibler Prozeß, bei welchem sowohl bei der Gasbildung wie bei der Lösungsreaktion eine erhebliche Reaktionswärme frei wird und nur ein relativ geringer Anteil der freiwerdenden Energie Arbeit gegen den äußeren Druck leistet. Führt man aber dieselbe Reaktion in einer galvanischen Zelle aus, so kann die Elektronenübertragung als elektrischer Strom zur Leistung von Arbeit ausgenützt werden, während gleichzeitig fast keine Wärme auftritt (nahezu reversibler Prozeß).
Obschon ideal reversible Prozesse eine in Wirklichkeit nicht realisierbare Abstraktion sind, haben sie für die Thermodynamik eine grundlegende Bedeutung. Die bei einem irreversiblen (bzw. teilweise irreversiblen) Prozeß geleistete Arbeit ist nämlich stets kleiner als die bei einer entsprechenden reversiblen Zustandsänderung geleistete. Für den Fall der reversiblen Expansion eines idealen Gases gegen den konstanten äußeren Druck gilt:

weil das Produkt dp * dV (ein Produkt zweier infinitesimaler Größen) vernachlässigt werden kann. Für die irreversible Expansion mit pa < pi gilt hingegen:

und also

Dasselbe gilt sinngemäß für alle Systeme, welche imstande sind, Energie in Form von gegen einen äußeren <<Widerstand>> geleisteter Arbeit an die Umgebung zu übertragen. Im reversiblen (hypothetischen) Fall wird immer die maximale Arbeit geleistet; jeder reale Prozeß liefert weniger Arbeit und ist wenigstens teilweise irreversible. Die Bedeutung reversibler Zustandsänderungen für die Thermodynamik liegt also darin, daß sie den Grenzfall darstellen, welcher mit der Leistung der maximalen Arbeit verbunden ist.
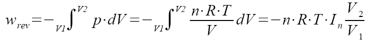
Zur Illustration dieser Überlegungen betrachten wird die Expansion eines idealen Gases. Wird sie isotherm und reversibel durchgeführt, so ist pi ≈ pa, so daß wir erhalten:

Diese Arbeit wrev entspricht der Fläche unter der p * V - Isotherme, die durch die beiden Volumina V2 und V1 abgegrenzt wird:

Bei der isothermen Expansion eines Gases geleistete Arbeit
a) reversible Expansion
b) irreversible Expansion
Für die irreversible Expansion nehmen wir an, daß der äußere Druck zunächst sehr rasch von p1 auf p2 fällt, ohne daß damit eine nennenswerte Volumenänderung verbunden sein soll. Die Expansion erfolgt dann gegen einen konstanten äußeren Druck pa = p2 = n * R * T/V2. Die geleistete Arbeit ist:

Wie die Skizze zeigt, ist wirrev < wrev.
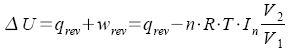
Von Interesse ist auch die Berechnung der bei der reversiblen adiabatischen Expansion geleisteten Arbeit. Hier ist dwrev = - dU (da dqrev = 0!), so daß gilt:

Die bei der adiabatischen Expansion geleistete Arbeit entspricht der Abnahme der inneren Energie, so daß bei einem solchen Prozeß die Temperatur abnehmen muss (und der Druck aus diesem Grund stärker fällt als bei einer isothermen Expansion auf dasselbe Volumen). Da im letzteren Fall Wärme aus der Umgebung aufgenommen werden kann, ist die geleistete Arbeit stets größer.
Man kann nun zeigen, daß bei der reversibel
durchgeführten Expansion, bei welcher in infinitesimalen Schritten Wärme bei
einer bestimmten Temperatur T absorbiert wird, die Summe aller Schritte
von der Art und
Weise, in welcher die Expansion durchgeführt wird, unabhängig ist; mit anderen
Worten,
hängt bei
reversiblen Zustandsänderungen nur vom Anfangs- und Endzustand ab.
muß damit aber
offenbar gleich der Änderung einer Zustandsfunktion sein. Dies ist die
Entropie.

Die Einführung der Entropie als weitere Zustandsgröße (neben den bereits besprochenen Funktionen U und H) geschah ursprünglich am Beispiel reversibler Zustandsänderungen idealer Gase. Sie hat jedoch für jeden realen, mindestens teilweise irreversiblen Vorgang eine sehr große Bedeutung, da für irreversible Prozesse allgemein die Beziehung gilt:
Δ S > O
Zur Veranschaulichung der Beziehung betrachten wir nochmals die isotherme Expansion eines idealen Gases. Die dabei geleistete Arbeit wrev ist:

Nun ist weiter:

und: - da Δ U = 0
- wird
![]()
Damit erhalten wir für die Entropieänderung:

Bei der reversiblen Expansion (V2 > V1) nimmt die Entropie des Gases zu (Δ SGas = qrev/T; positiv, weil qrev positiv ist). Die vom System absorbierte Wärme wird der Umgebung entzogen, so daß die Entropie der Umgebung um einen ebenso großen Betrag abnehmen muß, wie die Entropie des Systems wächst:
![]()
Die totale Entropieänderung eines abgeschlossenen Systems (d. h. einer Kombination aus System und seiner Umgebung) ist also im Fall der reversiblen Expansion Null. Diese wichtige Aussage gilt für alle reversiblen Zustandsänderungen, bei welchen das System und seine Umgebung also dauernd in einem Gleichgewicht stehen müssen.
Anders liegen die Verhältnisse bei einer irreversiblen Expansion, z.B. ins Vakuum. Δ SGas ist zwar auch hier gleich n * R * In V2/V1 (S ist eine Zustandsfunktion und Δ S damit unabhängig von der Art und Weise, in welcher die Zustandsänderung erfolgt); bei der Expansion ins Vakuum ist aber w = 0 (pa = 0!) und weil Δ U = 0, ist auch q = 0. Mit anderen Worten, die Umgebung verliert keine Wärme, so daß für sie Δ S = 0 ist. Insgesamt haben wir also für eine irreversible Expansion:

Auch diese Erkenntnis gilt für irgendwelche irreversiblen Zustandsänderungen. Da jeder natürliche Prozeß mindestens teilweise irreversibel ist, hat diese Aussage eine große Bedeutung; es ist aber zu beachten, daß sie für ein abgeschlossenes System (also wiederum für eine Kombination aus System und seiner Umgebung!) gilt.
Die Beziehung stellt eine mögliche Formulierung des 2. Haupsatzes der Thermodynamik dar:
Die Entropie des Universums bleibt bei einem reversiblen Prozeß konstant, nimmt aber ei einem irreversiblen Prozeß zu.
Auch diese Aussage ist ein Erfahrungssatz. Wir
wollen dies durch seine Anwendung auf das Problem des Wärmeüberganges zwischen
zwei Körpern von verschiedener Temperatur zeigen. Bringen wir zwei solche Körper
miteinander in Berührung, so absorbiert der kältere Körper eine geringe
Wärmemenge dq, welche dem heißeren Körper entzogen wird; die Temperatur ändert
sich dabei ur unwesentlich (reversible Zustandsänderung!). Die damit verbundenen
Entropieänderungen sind für den kälteren Körper
; für den wärmeren
Körper
. Diese
Entropieänderungen beziehen sich auf den reversiblen Ablauf, sind jedoch für den
irreversiblen Ablauf - wenn die beiden Körper rasch miteinander in Berührung
gebracht werden - gleich. Die totale Entropieänderung beider Körper ist dann:

Würde Wärme vom kälteren auf den wärmeren Körper übertragen, so wäre:

Nach dem 2. Hauptsatz kann aber die Entropieänderung nur Null oder größer Null sein; seine Gültigkeit bezweifeln und damit auch Vorgänge mit Δ S < 0 zulassen, hieße für obiges Beispiel, einen spontanen Wärmeübergang vom kalten auf den warmen Körper für möglich zu halten, was aber erfahrungsgemäß niemals eintritt.
Der 2. Hauptsatz legt also die Richtung spontan erfolgender Zustandsänderungen fest. Ist die Entropieänderung des Systems und seiner Umgebung größer Null, so verläuft der betreffende Prozeß von selbst, ist sie kleiner als Null, so tritt der Vorgang nicht ein.
Interpretation der Entropie; der 3. Hauptsatz.
Obschon die Thermodynamik ohne irgendwelche Annahmen über den atomaren oder molekularen Aufbau der Materie auskommt, dienen solche Modelle sehr wesentlich der Vertiefung des Verständnisses thermodynamischer Funktionen. Die Vorstellung, nach der die Temperatur die mittlere kinetische Energie der Teilchen ausdrückt, erklärt z.B. ohne weiteres, daß die innere Energie eines (idealen) Gases vom Volumen unabhängig ist (Kein Wärmeeffekt bei der Expansion ins Vakuum!). Es ist der Verdienst von Boltzmann, auch für die Entropie eine molekularkinetische Deutung entwickelt zu haben: sie ist ein Maß für die Unordnung des betreffenden Systems. Da bei spontanen Vorgängen die Entropie des Universums zunimmt, nimmt der Ordnungsgrad im gesamten dabei ab, eine natürliche Folge der völlig ungeordneten Wärmebewegung aller Teilchen1.
Diese Überlegungen sind von Bedeutung für die Berechnung der Entropien von Substanzen. Um Reaktionsenthalpien berechnen zu können, mußten die Enthalpien bestimmter Stoffe für einen festgelegten Zustand (den Standardzustand) willkürlich definiert werden (die Enthalpie der Elemente im Standardzustand ist Null). Ebenso sollte man die Entropie einer Substanz für einen bestimmten Zustand gleich Null setzen können. Da nun die Entropie ein Maß der molekularen Unordnung darstellt, wird sie dann gleich Null sein, wenn die größtmögliche Ordnung verwirklicht ist, was für einen vollkommen regelmäßig gebauten Kristall am absoluten Nullpunkt zutrifft.

Bestimmung der Standard- Entropie von AgCl (298°K und 1atm) durch Ausmessen der Flächen unter den Kurven: a) Cp/T als Funktion der Temperatur und b) Cp als Funktion von log T .
Dies kommt im 3. Hauptsatz der Thermodynamik zum Ausdruck:
Die Entropie von Idealkristallen eines Elements oder einer Verbindung am absoluten Nullpunkt ist Null.
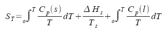
Der 3. Haupsatz ermöglicht die Berechnung absoluter Entropiewerte von irgendwelchen Stoffen für beliebige Temperaturen (was für die Enthalpie nicht möglich ist!).
für 1 Mol Substanz und konstanten Druck gilt nämlich:

Man benötigt also zur Bestimmung der absoluten Entropie einer Substanz bei einer Temperatur T die Kenntnis der Temperaturabhängigkeit der Wärmekapazität Cp. Die Entropie läßt sich dann dadurch erhalten, daß man entweder Cp/T als Funktion von T oder Cp selbst als Funktion von log T graphisch darstellt und die Fläche unter den Kurven ausmisst. Wenn unterhalb der Temperatur T eine Phasenumwandlung eintritt, müssen auch die damit verbundenen Energieeffekte zur Berechnung berücksichtigt werden:

( Ts ist die Schmelztemperatur, Δ Hs die molare Schmelzenthalpie)
Die Berechnung der Entropieänderung einer Substanz beim Übergang von einer Temperatur T1 zu einer Temperatur T2 ist einfach (sofern Cp als konstant betrachtet werden darf):

Die Entropieänderung bei chemischen Reaktionen (im Standardzustand) ist gleich:
![]()
wobei n die Zahl der Mole ist. Man halte sich vor Augen, daß die Standard-Entropie eines Elementes - im Gegensatz zur Stanard-Enthalpie! - nicht Null ist. Die Standard-Bildungsentropie einer Verbindung ist deshalb:
![]()
Standard - Entropien (cal/Grad Mol)
|
Feste Elemente |
Feste Verbingungen |
Flüssigkeiten |
|||
|
Ag |
10,2 |
BaO |
16,8 |
Hg |
18,17 |
|
B |
1,7 |
BaCO3 |
26,8 |
Br2 |
36,4 |
|
Ba |
15,1 |
BaSO4 |
31,6 |
H2O |
16,73 |
|
CGraphit |
1,37 |
CaO |
9,5 |
C6H6 |
41,9 |
|
CDiamant |
0,6 |
Ca(OH)2 |
17,4 |
|
|
|
Ca |
9,95 |
CaCO3 |
22,2 |
|
|
|
Cu |
7,97 |
CuO |
10,4 |
|
|
|
Fe |
6,49 |
Fe2O3 |
21,5 |
|
|
|
Srh |
7,62 |
Al2O3 |
12,5 |
|
|
|
Zn |
9,95 |
ZnO |
10,5 |
|
|
|
|
|
ZnS |
13,8 |
|
|
|
|
|
NaF |
12,0 |
|
|
|
|
|
NaCl |
17,3 |
|
|
|
|
|
AgCl |
23,0 |
|
|
|
Einatomige Gase |
Zweiatomige Gase |
Mehratomige Gase |
|||
|
He |
30,13 |
H2 |
31,21 |
H2O |
45,15 |
|
Ne |
34,95 |
D2 |
34,6 |
CO2 |
51,1 |
|
Ar |
36,98 |
F2 |
48,6 |
SO2 |
59,4 |
|
H |
27,39 |
Cl2 |
53,3 |
H2S |
49,15 |
|
F |
37,92 |
Br2 |
58,6 |
NO2 |
57,47 |
|
Cl |
39,46 |
CO |
47,3 |
N2O |
52,58 |
|
Br |
41,80 |
NO |
50,3 |
NH3 |
46,03 |
|
I |
43,18 |
N2 |
45,7 |
O3 |
56,8 |
|
N |
36,61 |
O2 |
49,0 |
|
|
|
O |
38,47 |
HF |
41,53 |
|
|
|
|
|
HCl |
44,66 |
|
|
|
|
|
HBr |
47,48 |
|
|
|
|
|
HI |
49,36 |
|
|
Eine Betrachtung der Tabelle zeigt, daß die Entropie einer bestimmten Substanz beim Übergang fest - flüssig und wiederum beim Übergang flüssig - gasförmig zunimmt. Harte Stoffe wie z.B. Diamant besitzen niedrigere Entropien als weichere (bessere Ordnung im Gitter!). Im allgemeinen wächst die Entropie auch mit zunehmender Komplexität der Struktur, weil mehr Möglichkeiten für Rotations- und Vibrationsbewegungen bestehen.
Um die Entropien hydratisierter Ionen angeben zu können, muß für ein bestimmtes Ion die Entropie willkürlich definiert werden, denn es ist nur möglich, Entropien von Verbindungen, nicht dagegen von einzelnen Ionen zu messen. Üblicherweise setzt man die Entropie des hydratisierten Protons (H3O+ aq) bei 298°K gleich Null. Unter Berücksichtigung der (bekannten) Entropien von H2 und Cd-Metall läßt sich dann z.B. die Entropie von Cd2+ aus der Reaktionsentropie folgender Reaktionen berechnen:
Cd(s) + 2 H3O+ (aq) → Cd2+ (aq) + H2 (g) + 2 H2O
Entropien hydratisierter Ionen (cal/Grad Mol)
| Li+ | 3,4 | OH- | - 2,7 |
| Na+ | 14,4 | F- | - 2,7 |
| K+ | 24,5 | Cl- | 9,4 |
| Mg2+ | - 28,2 | Br- | 12,7 |
| Ca2+ | - 13,2 | I- | 17,1 |
| Ba2+ | 3,0 | SO42- | - 5,4 |
| Fe2+ | - 27,1 | NO3- | 20,8 |
| Fe3+ | - 70,1 |
Die Tabelle bringt einige Entropien hydratisierter Ionen. Es wird daraus deutlich, daß die Entropie eines solchen Ions um so niedriger ist (d. h. daß sein Ordnungsgrad um so höher ist), je höher seine Ladung und je kleiner sein Radius ist.
Die freie Enthalpie. Nach dem 2. Hauptsatz gilt:
Δ S > 0 : irreversibler Prozeß, kann spontan oder nicht von selbst eintreten
Δ S = 0 : reversibler Prozeß: das System und seine Umgebung stehen während des Vorganges dauernd in einem Gleichgewicht.
Δ S < 0 : tritt niemals ein
Es ist dabei zu beachten, daß sich die Entropieänderungen Δ S auf das System und seine Umgebung als Ganzes beziehen; Vorgänge, bei denen die Entropie des Systems abnimmt (ΔSSys < 0) sind an sich natürlich schon möglich, aber dann muß die Entropie der Umgebung zunehmen.
Im Prinzip ist mit diesen Aussagen eines der Hauptziele der chemischen Thermodynamik erreicht: die Festlegung eines Kriteriums dafür, ob eine Veränderung freiwillig vor sich geht, mit anderen Worten, eines Maßes für ihre Triebkraft. Für praktische Zwecke sind allerdings die oben formulierten Aussagen nicht sehr brauchbar, weil sie die Kenntnis der Eigenschaften sowohl der Umgebung wie des Systems (das doch eigentlich allein von Interesse ist) erfordern. Es wäre deshalb sehr nützlich, eine Größe als Maß für die Triebkraft einer Zustandsänderung zur Verfügung zu haben, die nur von den Eigenschaften des Systems bestimmt wird.
Bei Versuchen, eine solche Zustandsgröße zu finden, dachte man zunächst an die Reaktionswärme Δ H (Prinzip von Thomson und Berthelot), da ja in der Tat sehr viele exotherme Vorgänge freiwillig vor sich gehen. In Wirklichkeit gibt es jedoch auch viele freiwillige, endotherm ablaufende Vorgänge. Obschon also zweifellos eine starke Tendenz zur Erreichung eines enthalpiearmen Zustandes besteht, kann die Richtung einer möglichen Veränderung nicht durch Δ H allein bestimmt werden darum durch Gibbs (um1875) zu einer neuen Zustandsfunktion G verknüpft, die als <<freie Enthalpie>> oder (oft unkorrekt auch) als <<freie Energie>> bezeichnet wird:
G = H - T * S
Für Zustandsänderungen bei konstanter Temperatur gilt:
Δ G = Δ H - T * Δ S

Isoliertes System, das Substanzen und ihre Umgebung umfaßt
Um die Bedeutung dieser Funktion als Ausdruck der Triebkraft einer Zustandsänderung zu verstehen, betrachten wir eine Anzahl von Substanzen bei konstanter Temperatur und konstantem Druck, die zusammen mit ihrer Umgebung ein isoliertes System bilden, also unter Bedingungen, wie sie im allgemeinen bei einer chemischen Reaktion vorliegen, die in einer Apparatur durchgeführt wird, welche in Verbindung mit der Atmosphäre steht. Auf das Gesamtsystem läßt sich der 2. Hauptsatz anwenden.
Wenn wir annehmen, daß diese Stoffe einer spontanen Zustandsänderung unterworfen sein können, so gilt: Δ SGesamtsystem = Δ SSubst + Δ SUmg > 0
und weiter: qUmg = - qSubst
Da sich die
Zustandsänderungen bei konstantem Druck und konstanter Temperatur vollziehen
sollen, ist weiter
,
weil Δ SUmg = qUmg/T ist. (Die mit der Absorption von Wärme verbundene Zustandsänderung der Umgebung ist genau gleich groß, ob die Wärme auf reversible oder irreversible Weise von den Substanzen abgegeben worden ist.) Weil es sich voraussetzungsgemäß bei der Zustandsänderung der Substanzen um einen freiwilligen Prozeß handeln soll, wird nach:

wobei sich Δ G auf die Substanz allein und nicht auch auf ihre Umgebung bezieht.
Um zu entscheiden, ob ein bestimmter Vorgang (bei konstantem Druck und konstanter Temperatur) überhaupt möglich ist, muss nur Δ G des sich ändernden Systems allein bekannt sein. Ist Δ G negativ, so geht der betreffende Vorgang freiwillig vor sich (<<exergonischer Vorgang>>). Ist hingegen Δ G positiv, so kann der fragliche Vorgang nicht von selbst eintreten (<<endergonischer Vorgang>>). Ist schließlich Δ G = 0, so existieren Anfangs- und Endzustand im Gleichgewicht nebeneinander, ohne dass im Gesamteffekt eine Veränderung zu beobachten wäre.
Die Beziehung ist für die Thermodynamik von grundlegender Bedeutung. Sie zeigt deutlich den Einfluß von Enthalpie- und Entropieänderungen auf die Triebkraft von Zustandsänderungen, also auch von chemischen Reaktionen. Vorgänge sind exergonisch, wenn Δ H negativ und (oder) Δ S positiv sind, d. h. wenn viel Wärme frei wird oder die Unordnung beträchtlich zunimmt. Bei relativ tiefen Temperaturen ist der Einfluß des Gliedes T * Δ S klein, so daß in erster Linie die Reaktionswärme die Abnahme der freien Enthalpie bestimmt: exotherme Reaktionen sind auch exergonisch. Nur wenn die Entropieänderung ganz besonders groß ist (z. B. beim Schmelzen, Verdampfen oder Lösen), kann schon bei nicht allzu hoher Temperatur ein positives Δ H durch die starke Zunahme der Entropie überkompensiert werden, so daß dann ein endothermer Vorgang exergonisch werden kann. Bei hohen Temperaturen überwiegt der Einfluß des Gliedes T * Δ S in jedem Fall und nur noch Reaktionen mit Δ S > 0 verlaufen freiwillig. <<Alles natürliche Geschehen wird regiert einerseits von dem Bestreben nach Abnahme der Energie, anderseits nach Zunahme der Entropie>> (Ulrich).
Als Anwendungsbeispiel der Beziehung diskutieren wir die Fällung der Erdalkalicarbonate (siehe folgende Tabelle). Mit Ausnahme der Bildung von BaCO3 sind alle Reaktionen endotherm; trotzdem verlaufen alle vier spontan beim Zusammengießen von Lösungen, welche Erdalkali - Ionen und Carbonat - Ionen enthalten.
Für die Reaktion: Ca2+ + CO32- → CaCO3 Δ H = + 2,95 kcal/Mol
beträgt die Entropieänderung Δ S = SCaCO3 - SCa2+ - SCO32- = 48,1 cal/Grad Mol.
Thermodynamische Daten für die Fällung der Erdalkalicarbonate aus wäßrigen Lösungen (bei 25°C und 1atm)
|
Verbindung |
|
|
|
|
Δ Ho (kcal/Mol) |
T Δ So (kcal/Mol) |
Δ Go (kcal/Mol) |
|
Mg2+ + aq |
+ |
CO32- - aq |
→ |
MgCO3 (s) |
+ 6,0 |
+ 17,0 |
- 11,0 |
|
Ca2+ + aq |
+ |
CO32- - aq |
→ |
CaCO3 (s) |
+ 2,95 |
+ 14,1 |
- 11,4 |
|
Sr2+ + aq |
+ |
CO32- - aq |
→ |
SrCO3 (s) |
+ 0,8 |
+ 13,3 |
- 12,5 |
|
Ba2+ + aq |
+ |
CO32- - aq |
→ |
BaCO3 (s) |
- 1,0 |
+ 11,0 |
- 12,0 |
Trotzdem also ein relativ gut geordneter, fester Stoff entsteht, nimmt die Gesamtentropie zu, hauptsächlich deswegen, weil die Ionen ihre Hydrathüllen verlieren, das vorher gebundene Hydratwasser somit frei wird und die Unordnung insgesamt wächst. Die Berechnung von Δ G ergibt - 11,38 kcal/Mol; die Fällung verläuft exergonisch.
Vergleicht man die einzelnen Terme für die Fällungen der anderen Erdalkalicarbonate miteinander, so erkannt man, daß in der Reihe MgCO3 -CaCO3 -SrCO3 -BaCO3 der Entropie- Term T * Δ S abnimmt; die Reaktionsentropie der Fällung (die damit verbundene Entropieänderung) wird also immer weniger positiv. Dies rührt davon her, daß die Hydration der Metallionen in der gleichen Reihenfolge abnimmt (abnehmende Ladungskonzentration wegen wachsendem Ionenradius). Gleichzeitig wird aber Δ G immer mehr negativ (abnehmende Löslichkeit von MgCO3 zu BaCO3), so daß Δ G bei allen vier Vorgängen ungefähr gleich groß ist.
Man wird sich fragen, ob auch für die Funktion G eine anschauliche Deutung möglich ist. Betrachten wir deshalb eine reversible, isotherme Zustandsänderung eines beliebigen Systems.
Es ist: dG = dH - d (T * S).
Nun ist dH = dU + d (p * V) und weiter dU = dwrev + dqrev.
Wir erhalten also:
dG = dwrev + dqrev + d (p * V) - d (T * S)
dG = dwrev + dqrev + p * dV + V * dP - T * dS - S * dT.
Da aber dqrev = T * dS ist und der äußere Druck p sowie die Temperatur T konstant sind, wird
dG = dwrev + p * dV
oder
Δ G = wrev ┬ p * Δ V.
wrev ist die maximale zu gewinnende (bzw. zu leistende) Arbeit, da der Prozeß voraussetzungsgemäß reversibel durchgeführt wird. p * Δ V ist die mit der Volumenänderung des Systems verknüpfte Arbeit und besitzt einen negativen Wert (wird vom System geleistet), wenn sich das Volumen vergrößert. Die größtmögliche durch den Prozeß geleistete Arbeit wmax ist die gesamte reversible Arbeit abzüglich der gegen den äußeren Druck geleisteten Arbeit:
wmax = wrev - (-p * Δ V) = wrev + p * Δ V
Δ G ist also gleich wmax; die Änderung der freien Enthalpie entspricht somit der größtmöglichen, durch einen isothermen und reversibel, bei konstantem Druck durchgeführten Prozeß zu gewinnenden (bzw. im Fall eines endergonischen Prozesses aufzuwendenden) Arbeit, der sogenannten Nutzarbeit. Die Messung von Δ G erfolgt am einfachsten mittels galvanischer Zellen, weil die hier geleistete elektrische Arbeit wel gleich der Nutzarbeit wmax ist .
Die Tatsache, daß bei einem exergonischen Vorgang (einem Vorgang, der freiwillig verläuft) Δ G negativ ist, bedeutet, daß durch einen solchen Prozeß Arbeit ( und zwar bei reversibler Durchführung wmax) geleistet werden kann. Ähnlich wie ein mechanisches System nur dann Arbeit leistet, wenn es von einem Zustand mit höherer in einen Zustand mit niedrigerer potentieller Energie übergeht, oder wie in einem elektrischen Leiter ein Strom nur dann fließen (und Arbeit leisten) kann, wenn eine Potentialdifferenz (Spannung) vorhanden ist, kann auch ein chemischer Vorgang nur dann Arbeit leisten, wenn ein <<Potentialunterschied>> zwischen Reaktanten und Produkten vorhanden ist, d. h. wenn dadurch die freie Enthalpie abnimmt (Δ G negativ ist). Man bezeichnet deshalb die freie Enthalpie eines Systems oder eines Stoffes oft geradezu als sein <<chemisches Potential>>. Bei exergonischen Vorgängen ist dann das chemische Potential der Reaktanten höher als das chemische Potential der Produkte, während umgekehrt bei endergonischen Vorgängen die Produkte das höhere chemische Potential besitzen. Endergonische Reaktionen sind deshalb nur dann möglich, wenn von außen am System Arbeit geleistet wird. In einem Gleichgewichtszustand (wie etwa im Gleichgewicht zwischen fester und flüssiger Phase einer Substanz an ihrem Schmelzpunkt) kann das System keinerlei Arbeit leisten (Δ G = 0); im erwähnten Phasengleichgewicht ist das chemische Potential der beiden Phasen gleich groß.
Es ist jedoch nicht zweckmäßig, das chemische Potential einer Substanz ihrer freien Enthalpie schlechthin gleichzusetzen, da diese von der Substanzmenge abhängt (also eine sogenannte extensive Größe an, im Gegensatz etwa zur Temperatur oder zur Dichte, die intensive, von der Substanzmenge unabhängige Größen sind). Hingegen ist die molare freie Enthalpie eine intensive Größe, so daß wir im folgenden die molare freie Enthalpie einer Substanz als ihr chemisches Potential bezeichnen wollen.
Die freie Enthalpie chemischer Reaktionen. Bei einer Reaktion
a A + b B + ... → c C + d D + ...
(wobei a, b, c, d ... die stöchiometrischen Faktoren bedeuten) ist die bei 25°C (298°K) und 1 atm geltende Änderung der freien Energie für eine <<Reaktionseinheit>>, d. h. für einen Umsatz von soviel Mol, wie den Faktoren entsprechen, gleich folgendem Ausdruck:
![]()
wobei
die freie Enthalpie
von 1 Mol A im Standardzustand ist, usw.
bezieht sich
ausdrücklich auf die Bildung der Produkte im Standardzustand aus den Edukten
ebenfalls im Standardzustand und auf eine Reaktionseinheit, d. h. einen
vollständigen, der Gleichung entsprechenden Stoffumsatz.
Da jeder Wert von G eine Zustandsfunktion
darstellt, kann
einer
bestimmten Reaktion aus
- Werten anderer
Reaktionen erhalten werden, in der gleichen Weise, wie es auch mit
Reaktionsenthalpien geschieht. Es ist auch hier zweckmäßig, die freie Enthalpie
der Elemente im Standardzustand (in ihrem stabilsten Zustand bei 25°C und 1atm)
gleich Null zu setzen. Die der Bildung einer Verbindung im Standardzustand aus
den Elementen ebenfalls im Standardzustand entsprechende Änderung der freien
Enthalpie wird als die freie Bildungsenthalpie der Verbindung im Standardzustand
(
) bezeichnet.
Beispiele:
|
(a) |
CGraphit |
+ |
O2 (g) |
→ |
CO2 (g) |
|
= |
- 94,3 kcal |
|
(b) |
2 H2 (g) |
+ |
O2 (g) |
→ |
2 H2O (l) |
|
= |
- 113,4 kcal |
|
(c) |
CH4 (g) |
+ |
2 O2 (g) |
→ |
2 H2O (l) + CO2 (g) |
|
= |
- 195,6 kcal |
Freie Bildungsenthalpie (25°C; kcal/Mol)
|
H2O |
- 56,7 |
BaO |
- 126,3 |
|
H2O2 |
- 24,7 |
BaSO4 |
- 350,2 |
|
O3 |
+ 39,06 |
BaSO3 |
- 272,2 |
|
HF |
- 64,7 |
CaO |
- 144,4 |
|
HCl |
- 22,77 |
CaCO3 |
- 269,8 |
|
HBr |
- 12,72 |
Ca(OH)2 |
- 214,3 |
|
HI |
+ 0,31 |
Fe2O3 |
- 177,1 |
|
SO2 |
- 71,79 |
Al2O3 |
- 376,8 |
|
SO3 |
- 88,52 |
CuO |
- 30,4 |
|
H2S |
- 7,89 |
Cu2O |
- 34,98 |
|
N2O |
+ 24,9 |
SiO2 |
- 192,4 |
|
NO |
+ 20,72 |
ZnO |
- 76,05 |
|
NO2 |
+ 12,39 |
PbO2 |
- 52,34 |
|
NH3 |
- 3,93 |
|
|
|
CO |
- 32,81 |
H |
+ 48,57 |
|
CO2 |
- 94,26 |
O |
+ 54,99 |
|
|
|
F |
+ 14,2 |
|
|
|
Cl |
+ 25,19 |
|
|
|
N |
+ 81,47 |
Durch Addition der Gleichung (a) und (b) und Subtraktion der Gleichung (c) erhält man für die Reaktion:
CGraphit + 2H2 (g)
→ CH4 (g)
= - 12,1 kcal.
Ein instruktives Beispiel für den Einfluß von
Enthalpie und Entropie auf
bietet die Reihe der
gesättigten Kohlenwasserstoffe:
Thermodynamische Daten für die Bildung der niederen Paraffinkohlenwasserstoffe (25°C ; 1atm)
|
Verbindung |
Formel |
|
|
|
|
Methan |
CH4 (g) |
-17,89 |
-19,3 |
-12,14 |
|
Ethan |
C2H6 (g) |
-20,24 |
-41,5 |
-7,86 |
|
Propan |
C3H8 (g) |
-24,80 |
-64,4 |
-5,61 |
|
n-Butan |
C4H10 (g) |
-29,81 |
-87,4 |
-3,75 |
|
n-Pentan |
C5H12(g) |
-35,00 |
-110,8 |
-1,96 |
|
n-Hexan |
C6H14(g) |
-39,96 |
-134,5 |
+0,05 |
|
n-Heptan |
C7H16 (g) |
-44,89 |
-157,6 |
+2,09 |
|
n-Oktan |
C8H18 (g) |
-49,82 |
-181,0 |
+4,14 |
|
n-Nonan |
C9H20 (g) |
-54,74 |
-204,3 |
+6,18 |
|
n-Dekan |
C10H22 (g) |
-59,67 |
-227,7 |
+8,23 |
Man erkennt aus der Tabelle, daß die
Bildungsenthalpien in der Reihe steigen, eine Folge des Vorhandenseins einer
weiteren C-C und zweier C-H Bindungen. Die mit der Bildung verbundenen
Entropieänderungen werden aber mit jeder weiter hinzukommenden CH2-Gruppe
immer mehr negativ, so daß
für die ersten 5
Verbindungen negativ, für Hexan nahezu Null und dann zunehmend immer mehr
positiv wird. Die höheren Kohlenwasserstoffe sind also in Bezug auf Kohlenstoff
und Wasserstoff bei Zimmertemperatur thermodynamisch instabil und können
durch direkte Synthese aus den Elementen nicht hergestellt werden.
Nun muß man sich aber bewußt sein, daß
nur dann die
Änderung der freien Enthalpie einer Reaktion wiedergibt, wenn sich alle
Reaktanten und Produkte im Standardzustand (in ihrem stabilsten Zustand
bei 25°C und 1 atm) befinden und wenn genau eine Rektionseinheit umgesetzt wird.
Um die Änderung der freien Enthalpie für Vorgänge angeben zu können, bei denen
die Reaktionsteilnehmer in beliebigen Konzentrationen oder mit
beliebigen Partialdrucken auftreten, muß die Abhängigkeit der freien
Enthalpie von der Konzentration (genauer: der Aktivität) und dem Druck bekannt
sein.
Wir betrachten zunächst ein ideales Gas. Es gilt:
G = H - T * S = U + p * V - T * S
und dG = dU + p * dV + V * dp - T * dS - S * dT.
Wenn nur Arbeit gegen den äußeren Druck geleistet wird, ist dU = dq - p * dV, also
dG = dq + V * dp - T * dS - S * dT.
Weil aber T * dS = dq ist, wird dG = V * dp - S * dT und bei konstanter Temperatur (dT = 0) ist dG = V * dp. Wir bekommen somit für die Druckabhängigkeit von G
dG / dp = V.
Für 1 Mol eines idealen Gases ist
und somit:

Wir integrieren unter Verwendung von po = 1 atm als unterer Integrationsbedingung:


denn po ist 1 atm, und bei 1 atm Druck ist
bedeutet die molare freie Enthalpie
(das chemische Potential) bei einem beliebigen Druck (in atm) und bei 25°C;
ist die molare freie Enthalpie im
Standardzustand. (Der Strich über dem Symbol - der zusätzlich darauf hinweisen
soll, daß sich die betreffende Größe auf 1 Mol bezieht - wird in der Praxis
meist weggelassen.)
Für n Mol gilt dann:
![]()
Dieselben Überlegungen lassen sich auch für Lösungen durchführen, wobei dann statt dem Druck die molare Konzentration (d. h. die Aktivität) der gelösten Substanz auftritt. Wir bekommen dann:
![]()
wenn C die Aktivität (molare Konzentration) der betreffenden Substanz ist.
Für eine Reaktion
a A + b B + ... → c C + d D + ...
die in (idealer) Lösung vor sich gehen soll, wird dann
![]()
also:
![]()
Der in eckigen Klammer stehende Ausdruck ist =
, und die weiteren
Terme lassen sich zu einem einzigen Ausdruck:

zusammen fassen. Die Änderung der freien Enthalpie bei einer chemischen Reaktion (wobei die Reaktionsteilnehmer in beliebigen Konzentrationen auftreten) ist dann:

Dies bedeutet, daß die Änderung der freien
Enthalpie während einer chemischen Reaktion durch zwei Teilbeträge bestimmt
wird. Der eine davon (
)
ist für die betreffende Reaktion charakteristisch und konstant, während der
zweite durch die jeweiligen Werte der Konzentrationen (Aktivitäten!) oder
Partialdrucke gegeben ist, die sich auch während der Umsetzung rasch ändern
können. Daß Δ Gr - im Gegensatz
zu Δ H - durch Konzentrationsänderungen beeinflußt
wird, kommt davon, daß die Entropie einer bestimmten Substanzmenge wesentlich
davon abhängt, in welcher Flüssigkeitsmenge diese gelöst ist (bzw. wie groß ihr
Partialdruck ist), daß also die Entropie einer Lösung (eines Gasgemisches) von
ihrer Konzentration (den Partialdrucken) abhängt (unterschiedlicher
Ordnungsgrad!). Die Reaktionswärme Δ H ändert sich hingegen nur wenig, wenn die
betreffende Substanzen in einer größeren oder kleineren Menge des Lösungsmittels
gelöst sind.
Edit: Paradoxtom
Quelle: H.R. Christen - Grundlagen der allgemeinen und anorganischen Chemie